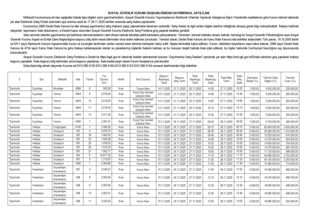
SGK-Gayrimenkul Satış İlanı
49

Diğer Duyurular

E-Mail:
Keep:
Faks: 0414 5521126
© Copyright 2024 - Siverek Belediyesi
Tüm Hakları saklıdır. Sitemizdeki içerikler izinsiz kopyalanamaz, çoğaltılamaz.
Siverek Bilgi İşlem Müdürlüğü